Manejo quirúrgico de nariz mestiza con injerto de extensión septal

Resumen
Objetivo:
La nariz mestiza presenta características muy diferentes de la caucásica resultando en un desafío quirúrgico para el cirujano estético facial. El objetivo del estudio fue describir el manejo quirúrgico de la nariz mestiza con injerto de extensión septal y evaluar los resultados estéticos.
Materiales y métodos: Estudio de una serie de casos de corte longitudinal, muestra de 25 pacientes. Se realizó un plan quirúrgico mediante abordaje abierto y el uso de injerto de extensión septal, se compararon las fotos pre y postoperatorias midiendo el ángulo y la proyección de la punta nasal, junto con el nivel de satisfacción postoperatoria de los pacientes. Se utilizó estadística descriptiva que incluyó frecuencias absolutas y relativas.
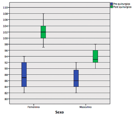
Resultados: 56% de los pacientes corresponden al sexo femenino, al 52% se colocó injertos espaciadores, 8% necesitó alotomía, el 100% mejoró el ángulo naso labial y solo un paciente presentó hematoma septal a los 10 días post quirúrgico, se resolvió con drenaje, la encuesta de satisfacción realizada a los pacientes post-quirúrgicos mostró un resultado satisfactorio.
Conclusiones: La técnica quirúrgica con injerto de extensión septal es de gran utilidad, se logró una correcta definición, proyección/rotación de la punta nasal y mayor estabilidad estructural del trípode central, con resultados armónicos satisfactorios en su apariencia de frente y de perfil, evitando colocar injertos en la punta nasal.
DOI: http://dx.doi.org/10.35687/s2452-45492020004606
Copyright (c) 2020 Revista de Cirugía

Este obra está bajo una licencia de Creative Commons Reconocimiento 4.0 Internacional.