Influencia del estado nutricional sobre la capacidad diagnóstica del Índice neutrófilo linfocito para la apendicitis aguda complicada en adultos

Juan Carlos Ezequiel Roque Quezada, Horus Michael Virú Flores, Valeria Angele Barturen Julca, Henry Eduardo Chavarry Delgado, Claudia Veralucia Saldaña Diaz, Robert Ricardo Vega Vega
Imagen de portada

Resumen


Objetivo: Evaluar la Influencia del estado nutricional sobre la capacidad diagnóstica del Índice neutrófilo-linfocito para la apendicitis aguda en adultos.

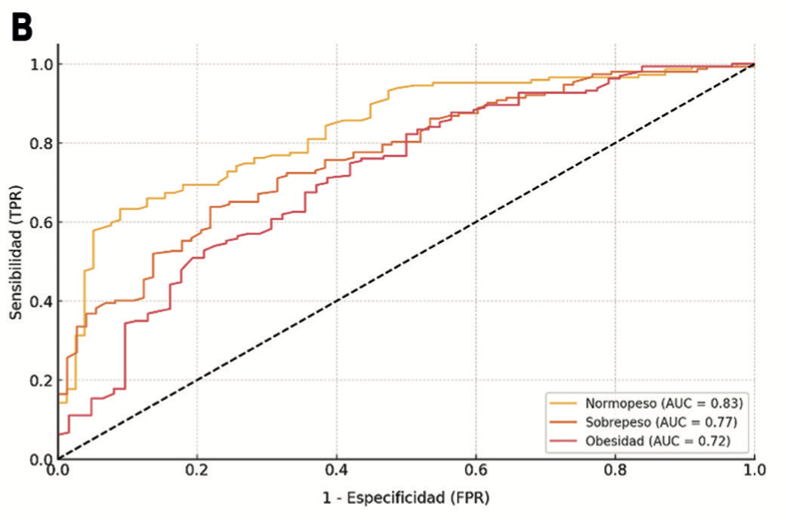
Materiales y Método: Estudio transversal, analítico y retrospectivo realizado en el Hospital de Emergencias José Casimiro Ulloa (2020–2024). Se incluyeron 675 pacientes adultos con diagnóstico confirmado de apendicitis aguda, distribuidos equitativamente en tres grupos según el IMC (normopeso, sobrepeso y obesidad). Se analizaron hemogramas automatizados y se calcularon curvas ROC, puntos de corte óptimos del INL y razones de prevalencia diagnóstica.

Resultados: El INL mostró una AUC global de 76,17% (p < 0,001), con mejor desempeño en pacientes con normopeso (AUC: 83,45%) frente a obesos (AUC: 71,71%). El punto de corte del INL fue 7,72 en normopeso, 8,69 en sobrepeso y 8,87 en obesidad. La razón de prevalencia diagnóstica fue mayor en normopeso (RP: 2,17). El rendimiento diagnóstico del INL disminuyó progresivamente a mayor IMC.

Conclusión: El estado nutricional influye significativamente sobre la capacidad diagnóstica del Índice neutrófilo-linfocito para la apendicitis aguda en adultos

 


Roque Quezada J, Virú Flores H, Barturen Julca V, Chavarry Delgado H, Saldaña Diaz C, Vega Vega R. Influencia del estado nutricional sobre la capacidad diagnóstica del Índice neutrófilo linfocito para la apendicitis aguda complicada en adultos. Rev Cir.. 2026;78(1). Disponible en: doi:10.35687/s2452-454920260012789 [Accessed 18 abr. 2026].
Roque Quezada, J., Virú Flores, H., Barturen Julca, V., Chavarry Delgado, H., Saldaña Diaz, C., & Vega Vega, R. (2026). Influencia del estado nutricional sobre la capacidad diagnóstica del Índice neutrófilo linfocito para la apendicitis aguda complicada en adultos. Revista de Cirugía, 78(1). doi:http://dx.doi.org/10.35687/s2452-454920260012789


DOI: http://dx.doi.org/10.35687/s2452-454920260012789

Copyright (c) 2026 Revista de Cirugía

Licencia de Creative Commons
Este obra está bajo una licencia de Creative Commons Reconocimiento 4.0 Internacional.